SSRU home
Toggle navigation
About SSRU
SSRU History
SSRU@Udonthani History
Suan Sunandha
+ HM the Queen Sunandhakumariratana
+ Lignum Vitae (Dok Kaew Chaochom)
+ Phra Putha Sunandhakorn
Administration
> Executives
>ผู้บริหารศูนย์การศึกษาจังหวัดอุดรธานี
+Lecturer in Logistics Management
+ Lecturer in Tourism and Service Industry Management
+ Lecturer in Political Science
+Academic Support Personnel
Education
วิทยาลัยการจัดการอุตสาหกรรมบริการ
+ Tourism Industry and Hospitality Management
วิทยาลัยการเมืองการปกครอง
+ สาขารัฐศาสตร์
College of Logistics and Supply Chain
+ Logistics Management
Download
คำร้อง การขอใบแทนบัตรประจำตัวนักศึกษา กรณีบัตรชำรุด/สูญหาย
คำร้อง ขอหนังสือสำคัญทางการศึกษา
คำร้อง ขอลาออกจากการเป็นนักศึกษา
คำร้อง ขอคืนสภาพการเป็นนักศึกษาและขอรักษาสภาพการเป็นนักศึกษาล่าช้า
คำร้อง ขอเปลี่ยนแปลงข้อมูลนักศึกษา
คำร้อง ขอรักษาสภาพการเป็นนักศึกษา
คำร้อง ขอลงทะเบียนเรียนล่าช้า
Manual
Operating manual audio-visual service process
Operating manual Parcel distribution process
Operating manual Work process for reporting a person to study
operating manual The process of collecting information and reporting on government performance
Guide to news writing and news photography for public relations for social media
Operating manual Process of project preparation/disbursement/conclusion of the academic department
Operating manual Procurement Process
Operating manual Education Fund Loan Process
Operating manual Late registration application process
Operating manual teaching and learning process
operating manual financial work process
แผนงานและประกันคุณภาพ
+ งบประมาณ 2564
+งบประมาณ 2565
แผนบริหารความเสี่ยง ปีงบประมาณ พ.ศ. 2568
Budget Risk Management Plan 2024
+ งบประมาณ 2566
+ งบประมาณ 2567
+ 'งบประมาณ 2568
Annual Report
Annual Report 2021
Annual Report 2022
Assess internal control
การเปิดเผยข้อมูลสาธารณะ (OIT) 2568
News
News
News Academic year 2026
research funding news
Academic Conference News
Procurement notice
ศูนย์การศึกษาจังหวัดอุดรธานี มหาวิทยาลัยราชภัฏสวนสุนันทา
Home
> News
News
Enrolling for Summer Term 3/61
Today (13 May) the first day for system activation.To enroll in the summer term 3/61For students Und ...
2019-09-09 15:51:39
The announcement of grade report of semester 2/2019
The announcement of grade report of semester 2/2019 from 22 May 2019 onwards at www.reg.ssru.ac.th☎F ...
2019-07-19 14:46:44
SuanSunandha Rajabhat University UdonThani EducationCenter open for prospective students Academic Year 2019 in the Department of Modern Trade Management
SuanSunandha Rajabhat University UdonThani EducationCenter open for prospective students Academic Ye ...
2019-09-09 15:35:51
Open for new prospective students for the Department of Tourism & Hospitality Management (Bachelor Degree Academic Year 2019) (M.6 or Cert. graduates) TCAS round 3 Admission 17 – 29 April 2019 apply at http//:tcas.cupt.net or self-apply at SSRU Udon Than
Open for new prospective students for the Department of Tourism & Hospitality Management (Bachel ...
2019-09-09 15:23:58
Logistics Management now open for both regular / special section for Bachelor Degree in Logistics Management Academic Year 2019 for graduates from M.6, Cert., and Dip
Logistics Management now open for both regular / special section for Bachelor Degree in Logistics Ma ...
2019-07-19 15:05:50
The Draft of UDEC Stretegic Planning (Day 2). The Vice President of Academic Affairs has flagged to be the expert of Esan Logistics, Esan Sustainable Tourism Destination and Esan CP Wealthy Man.
The Draft of UDEC Stretegic Planning (Day 2). The Vice President of Academic Affairs has flagged to ...
2019-09-10 09:29:18
Suan Sunandha Rajabhat University Udon Thani Education Center held the Draft of Strategic Planning of 5 Years Plan between 4-6 May 2019 at Amman Unique Hotel.
The Draft of Strategic Planning of Udon Thani Education Center. The President of SSRU had stressed & ...
2019-09-10 09:24:15
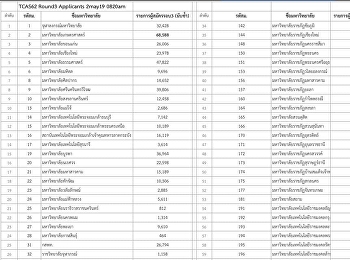
TCAS round 3: SSRU has won the first place where received most applicants among all Rajabhats.
TCAS round 3: SSRU has won the first place where received most applicants among all Rajabhats.Assoc. ...
2019-07-19 15:10:29
Download the invoice and pay for the summer session from now until 10 May 2019
Bachelor degree students (Special type) and regular type who wish to enroll for semester 3 year 2018 ...
2019-07-19 16:46:53
Open for prospective students Academic Year 2019 in the Department of Modern Trade Management
SuanSunandhaRajabhatUniversity #UdonThaniEducationCenter open for prospective students Academic Year ...
2019-07-19 15:33:25
«
1
...
148
149
150
151
152
...
163
»
Current News